MODELS ON TOP OF MODELS:CONVERGEのTHICKENED FLAME

皆さま、こんにちは。
IDAJの水島です。
今回は、オートノマスメッシング熱流体解析プログラム「CONVERGE」の開発元である、Convergent Scienceが公開しているBLOGの内容を翻訳してご紹介します。
CONVERGEのユーザーの皆さまなら、このソルバーに多くの物理モデルがあることをご存知でしょう。本当にたくさんあるのです!
組み合わせはいくつあるのか?
異なるシミュレーション設定は何通りあるのか?
答えは思いのほか簡単ではありません。N個の乱流モデルがあって、M個の燃焼モデルがあるとして、組み合わせの総数はN*Mではないのです。
それはなぜでしょう?
場合によっては、開発者たちは日々、開発作業中だからです!例えば、ECFMとECFM3Zの燃焼モデルは、CONVERGEのバージョン3.0.11までは、Large Eddy Simulation(LES) 乱流モデルと組み合わせることができませんでした。機能は常に追加されているのです。面白い例をあげましょう。Thickened Flameモデル(TFM)です。
この名称からどんなモデルかおわかりいただけますよね。TFMは火炎の厚みを増すように設計されています。燃焼研究者でない方にとっては、この概念は直観的に理解できるものではないかも知れませんが、実際の火炎の厚さは薄く、内燃機関エンジン環境では数十から数百ミクロンです。では、なぜ意図的に現実から離れたモデルを設計するのでしょうか?物理的モデルではよくあることなのですが、答えは研究対象にあります。
CONVERGEは、予混合内燃エンジンまたはガスタービンエンジンの、エンジニアリングの操作性の研究によく使用されています。ここで必要なのが、層流火炎速度など、巨視的な燃焼力学(火炎特性)の精度の高いシミュレーションです。LESでは、0.1ミリ程度のセルを使用することがあります。
もう何が問題かおわかりでしょう。火炎は、私たちが使いたいグリッド上で解像するには薄すぎるのです。実際、SAGEのような詳細化学反応ソルバーでは、正確な層流火炎速度を再現するには、火炎の端から端までで5つ以上のセルが必要です。解像が不十分な火炎では、層流火炎速度の予測が不十分になります。もちろん、セルのサイズを単純に1桁減らすこともできますが、それではエンジニアリングの計算として現実的なものではなくなってしまいます。
Thickened Flameモデルはこの問題を解決するように設計されています。Colinら1の考え方の基本は、物理的な火炎よりも厚みがあるものの、同じ層流火炎速度を再現する火炎のシミュレーションを行うことでした。単純なスケーリング解析よりこれを達成するには、熱と化学種の拡散率を上げる一方、反応速度をF 分の1にします。火炎厚さを増やす効果は、火炎面のひだ生成効果を減らし、ゆえにその表面領域を減らすため、正確な乱流火炎速度が回復されるよう効率係数E が導入されます。
これらのスケーリング係数の組み合わせにより、CONVERGEは、火炎そのものを実際に解析することなく、正確な火炎速度を回復することができます。CONVERGEはまた、これらのスケーリング係数が火炎面にのみ適用されるよう、火炎センサー関数を計算します。TFMをSAGE詳細化学反応と共に用いることで、LESを用いた予混合燃焼エンジニアリングシミュレーションが実用的なものとなるのです。
Hastiら2はそのようなケースを、LES、SAGE、TFMを用いてCONVERGEで評価しました。この研究では、幅広い研究の対象となってきた、以下に示すVolvoのbluff-body増強のテスト装置を調査しました。注目すべき条件において火炎厚さは1ミリと推定され、TFMなしのSAGEの場合、燃焼を正確にシミュレーションするには、0.2ミリよりも粗くないグリッドが必要です。

Volvo bluff-body 増強テスト装置3
Hastiらは、TFMを用いたCONVERGEが、最小0.3125ミリのグリッド間隔でグリッド収束した結果を生成できることを示しています。このような計算は、最小0.25ミリのグリッド間隔でのシミュレーションにかかるコア時間の、4割ほどしかかからないと予想されます。

bluff-body 燃焼器の代表的な瞬時温度場
ベースグリッドサイズ2ミリ(上)と3ミリ(下)はそれぞれ、最小セルサイズ0.25ミリと0.375ミリに相当

bluff-body 燃焼器の代表的な瞬時速度場
ベースグリッドサイズ2ミリ(上)と3ミリ(下)はそれぞれ、最小セルサイズ0.25ミリと0.375ミリに相当

bluff-body 燃焼器の代表的な瞬時渦度場
ベースグリッドサイズ2ミリ(上)と3ミリ(下)はそれぞれ、最小セルサイズ0.25ミリと0.375ミリに相当

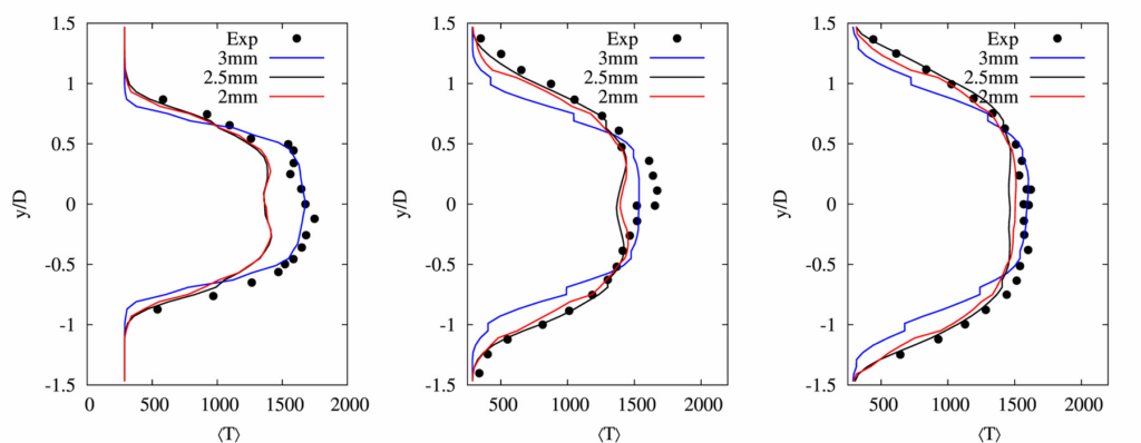
x/D = 3.75、8.75、および13.75での横軸中央値プロファイル
ベースグリッドサイズ2ミリ、2.5ミリ、3ミリはそれぞれ、最小セルサイズ0.25ミリ、0.3125ミリ、0.375ミリに相当
精度の高いシミュレーションを行うのに重要なのは、研究の主題と基本となる物理の理解、そして、これらの物理現象が、選択する物理モデルから受ける影響についての理解です。SAGE詳細化学反応ソルバーの能力に、LES乱流モデルの非定常挙動を組み合わせて、実用的エンジンの挙動を、IT部署を破産させることなく理解することを目指すのであれば、TFMの技術がそれを可能にします。
参照文献
[1] Colin, O., Ducros, F., Veynante, D., and Poinsot, T., “A thickened flame model for large eddy simulations of turbulent premixed combustion,” Physics of Fluids, 12(1843), 2000. DOI: 10.1063/1.870436
[2] Hasti, V.R., Liu, S., Kumar, G., and Gore, J.P., “Comparison of Premixed Flamelet Generated Manifold Model and Thickened Flame Model for Bluff Body Stabilized Turbulent Premixed Flame,” 2018 AIAA Aerospace Sciences Meeting, AIAA 2018-0150, Kissimmee, Florida, January 8-12, 2018. DOI: 10.2514/6.2018-0150
[3] Sjunnesson, A., Henrikson, P., and Lofstrom, C., “CARS measurements and visualizations of reacting flows in a bluff body stabilized flame,” 28th Joint Propulsion Conference and Exhibit, AIAA 92-3650, Nashville, Tennessee, July 6-8, 1992. DOI: 10.2514/6.1992-3650
出典:CONVERGENT SCIENCE BLOG(2020年7月2日公開)
(一部編集して翻訳)MODELS ON TOP OF MODELS: THICKENED FLAMES IN CONVERGE

主任研究員 Erik Tylczak
CONVERGEをご存じでない皆様、是非こちらをご視聴ください。CONVERGEの概要について9分で確認いただけます。
CONVEREGEの適用についてご不明な点がございましたら、お気軽に弊社までお問い合わせください。
■オンラインセミナー(無料)のご紹介
「CONVERGE」ご紹介セミナー ~3次元流体解析の新たな可能性を~
オートノマスメッシング熱流体解析プログラムCONVERGEは、2008年の販売を開始以来、エンジン筒内の3次元解析をメインターゲットに、世界中で広くご活用いただいています。
普段CONVERGEをご利用いただいていないモデルベース開発を統括・推進されていらっしゃる開発責任者・管理職・シニアエンジニアの皆様、これからCONVERGEのご導入をご検討される方、IDAJにコンサルティング業務の依頼を検討される方に、CONVERGEがどういう場面でお役立ていただけるかをわかりやすくご紹介しています。
セミナーの詳細・お申し込みはこちら
■オンラインでの技術相談、お打合せ、技術サポートなどを承っています。
本件ならびに本記事で登場する製品やサービスに関しては、下記までお気軽にお問い合わせください。ご連絡をお待ちしています。
株式会社 IDAJ 営業部
Webからのお問い合わせはこちら
E-mail:info@idaj.co.jp
TEL: 045-683-1990
