株式会社 IDAJ | Integrated digital advanced solution
MBDとは?
CAEとは?
ユーザーサポートセンター
イベントカレンダー
会社情報
採用情報
Language
日本語
English
実績・お客様事例
ソリューション
製品情報
コンサルティング
システム構築と開発
IDAJ数値解析アカデミー
お問い合わせ
製品情報
技術サポート
実績・お客様事例
製品情報
MBDプラットフォームツール
PLM・SPDMプラットフォーム
Overview
Aras Innovator
ReqMan
VOLTA
RPA(自動化)・最適化・機械学習
modeFRONTIER
自動運転開発支援
Overview
AnteMotion Products
Cognata
組込みソフトウェア開発プラットフォーム
Ansys SCADE
Ansys SCADE Architect
Ansys SCADE Suite
Ansys SCADE Display
Ansys SCADE Test
Ansys SCADE LifeCycle
Ansys SCADE Solutions for ARINC 661
産業別パッケージ
安全性・信頼性分析
Ansys medini analyze
MILS/SILS/HILSプラットフォーム
xMOD
CAEシミュレーションツール
マルチフィジックス・システムシミュレーション
GT-SUITE
GT-MetaModelLibrary
GT-Play
GT-SUITE-RT
GT-Automation
GT-RealDrive
GT-CONVERGE
GT-Auto-3DFlow
GT-AutoLion
GT-AutoLion 3D
GT-xCHEM
GT-TAITherm
GT-POWER-xRT
GT-3DMBD
GT-3DMBD Vehicle Dynamics
GT-3DMBD Machinery
GT-3DMBD Advanced Tribology
GT-PowerForge
GT-FEMAG
熱流体解析
Overview
Ansys Fluids
Ansys Fluent
Ansys CFX
Ansys Polyflow
Ansys SpaceClaim
Ansys Meshing
CONVERGE
iconCFD
LOGEsoft
Simcenter STAR-CCM+
構造解析
SIMULIA Abaqus Unified FEA
電子機器熱設計支援
Overview
MicReDプロダクト
Simcenter Flotherm
Simcenter Flotherm XT
Thermocalc
電磁界解析・EMC対策支援
Overview
Ansys Electronics
Ansys HFSS
Ansys Maxwell
Ansys SIwave
Ansys Q3D Extractor
CST Studio Suite
DEMITASNX
音響解析
Simcenter 3D Acoustics
粒子解析
Ansys Rocky
設計者CAE
Overview
Ansys Discovery
CATIA V5 Analysis
3DEXPERIENCE SIMULIA
CAD連携・CAE業務支援
Overview
Ansys EnSight
CADfix
CATIA V5
DEP MeshWorks
EASA
ennovaCFD for OpenFOAM
MpCCI
MpCCI CouplingEnvironment
MpCCI Mapper
MpCCI FSIMapper
材料データ管理
Overview
Ansys Granta MI
Ansys Granta Selector
技術サポート
技術サポート内容
技術サポート連絡先一覧
IDAJ news
IDAJ news 閲覧のお申し込み
IDAJ SYMPOSIUM
IDAJ数値解析アカデミー
ユーザーサポートセンター新規登録
ユーザーサポートセンターログイン
実績・お客様事例
業界別事例
自動車
お客様事例
解析事例
重工業・重電
お客様事例
解析事例
電力・環境
お客様事例
解析事例
航空宇宙
お客様事例
解析事例
電気・電子機器
お客様事例
解析事例
産業・輸送機械
お客様事例
解析事例
建築
お客様事例
解析事例
化学・医療
お客様事例
解析事例
コンシューマ製品
お客様事例
解析事例
官公庁・大学・その他
お客様事例
解析事例
製品別事例
modeFRONTIER
VOLTA
Ansys SCADE
Ansys medini analyze
xMOD
GT-AutoLion
GT-SUITE
Ansys Fluids
CONVERGE
iconCFD
SIMULIA Abaqus Unified FEA
MicReDプロダクト
Simcenter Flotherm
Simcenter Flotherm XT
Ansys Electronics
Simcenter 3D Acoustics
Rocky
CATIA V5 Analysis
CATIA V5
DEP MeshWorks
ennovaCFD for OpenFOAM
その他熱流体解析ツール
Glossary
MBD・CAE用語集
トップページ
MBD・CAE用語集
異方性弾性
異方性弾性
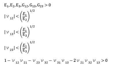
各方向で弾性定数が異なる性質を持つことです。直交異方性は互いに直交する方向で異なる性質を持ちます。
関連製品情報
SIMULIA Abaqus Unified FEA
このキーワードでサイト内検索する
検索
製品・コンサルティングお問い合わせ
アルファベット順索引
A
B
C
D
E
F
G
H
I
J
K
L
M
N
O
P
Q
R
S
T
U
V
W
X
Y
Z
50音順索引
あ行
か行
さ行
た行
な行
は行
ま行
や行
ら行
わ行
その他
数字
記号
キーワード検索
検索
ユーザーサポートセンター
無料で資料請求
ユーザーサポートセンター
無料で資料請求
トップページ
ソリューション
製品情報
実績・お客様事例
コンサルティング
システム開発
IDAJ数値解析アカデミー
会社情報
お問い合わせ
MBDとは?
CAEとは?
ユーザーサポートセンター
イベントカレンダー
採用情報
日本語
English
MBD・CAE用語集
プライバシーポリシー
コピーライト
サイトマップ
ご利用規約
IDAJ-BLOG
IDAJ@IDAJ_CAE
(IDAJ 公式アカウント)
ennovacfd@ennovacfd
(IDAJ ennovaCFD広報アカウント)
株式会社 IDAJ@IDAJ.CAE
(IDAJ 公式ページ)
ennovaCFD@ennovaCFD
(IDAJ ennovaCFD広報ページ)